寝癖頭の解法

学習中の覚え書きを投稿、更新していきます。

2021-09-01から1ヶ月間の記事一覧

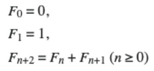
フィボナッチ数列について

フィボナッチ数列についての話です。 きっかけは、AIZU ONNLINE JUDGEのALDS1_10_Aから、"Fibonacci Number"の出題でした。 https://onlinejudge.u-aizu.ac.jp/problems/ALDS1_10_Aまずはフィボナッチ数について、Wikipediaによれば... >イタリアの数学者レ…

Aizu Online Judge in C++ #ALDS1_14_A : Naive String Search

Aizu Online Judge(AOJ)の過去問から、その提出コードの解答例です。・問題 "Naive String Search" https://onlinejudge.u-aizu.ac.jp/problems/ALDS1_14_A 文字列 T の中から文字列 P と一致する部分を探してください。 P と一致する部分について、文字列…

Aizu Online Judge in C++ #Volume0 - 0019 : Factorial

Aizu Online Judge(AOJ)の過去問から、その提出コードの解答例です。 ・問題: Factorial onlinejudge.u-aizu.ac.jp 整数 n を入力し、n の階乗を出力するプログラムを作成して下さい。 ただし、n は、1 以上 20 以下とします。僕が作成、提出したコードは…

Aizu Online Judge in C++ #Volume3 - 0345 : Rectangle

Aizu Online Judge(AOJ)の過去問から、その提出コードの解答例です。 ・問題: A Popular Ice-cream Shop onlinejudge.u-aizu.ac.jp 4本の棒の長さが与えられるので、それらすべてを辺とする長方形が作れるかどうか判定するプログラムを作成せよ。僕が作成…

Aizu Online Judge in C++ #Volume1 - 0149 : Eye Test

Aizu Online Judge(AOJ)の過去問から、その提出コードの解答例です。 ・問題: Eye Test onlinejudge.u-aizu.ac.jp 視力検査の検査結果データを入力とし、下記の視力判定表に基づいて各判定に当てはまる人数を、左右の視力別に出力するプログラムを作成して…

完全数・不足数・過剰数について

完全数・不足数・過剰数についての話です。 きっかけは、AIZU ONNLINE JUDGEのVolume21-2101から、"Perfect Number"の出題でした。 https://onlinejudge.u-aizu.ac.jp/problems/2101まず完全数とは、Wikipediaによれば... >自分自身が自分自身を除く正の約数…

Aizu Online Judge in C++ #Volume22 - 2204 : Final Examination!

Aizu Online Judge(AOJ)の過去問から、その提出コードの解答例です。 ・問題: Final Examination! onlinejudge.u-aizu.ac.jp 各試験の点数データを入力として、過去の期末試験の中で一番良かった時の点数と一番悪かった時の点数を出力するプログラムを書く…

Aizu Online Judge in C++ #Volume22 - 2259 : Programming Contest

Aizu Online Judge(AOJ)の過去問から、その提出コードの解答例です。 ・問題: Programming Contest onlinejudge.u-aizu.ac.jp M 人の参加者が居て N 問の問題から成るプログラミングコンテストを考える. 各参加者に関して,各問題を解いているか解いてい…

最近読んだ本とダイソーのアイデアノート

最近読んだ本の話です。家ではあまり読書しないけれど、学校にいると空き時間とか待ち時間が多いから、持ち込んで読んでいます。 まずは、『プログラマの数学』から。>プログラミングに役立つ「数学的な考え方」を身につけよう。>難しい数式は使わず、たくさ…

Aizu Online Judge in C++ #ITP2_10_C : Bit Flag

Aizu Online Judge(AOJ)の過去問から、その提出コードの解答例です。・問題 "Bit Flag" https://onlinejudge.u-aizu.ac.jp/problems/ITP2_10_C 64個のフラグからなる状態を管理するビット列に対して、以下の種類の操作を行ってください。 ただし、初期状態…

Aizu Online Judge in C++ #ITP2_10_B : Bit Operation II

Aizu Online Judge(AOJ)の過去問から、その提出コードの解答例です。・問題 "Bit Operation I" https://onlinejudge.u-aizu.ac.jp/problems/ITP2_10_B 10進数で与えられた2つの非負の整数a, bを2進数として扱い、それらのAND(論理積)、OR(論理和)、XO…

Aizu Online Judge in C++ #Volume2 - 0219 : A Popular Ice-cream Shop

Aizu Online Judge(AOJ)の過去問から、その提出コードの解答例です。 ・問題: A Popular Ice-cream Shop onlinejudge.u-aizu.ac.jp 一日に販売されるアイスクリームの総数と売れたアイスクリームの番号を入力とし、アイスクリームの種類ごとに販売した数だ…

AtCoder Problems in C++ #C - Long Sequence

AtCoder Beginner Contestの過去問から、その提出コードの解答例です。 AtCoderとは、コンテストを通じて、プログラミングやアルゴリズムを学習するサービスです。 atcoder.jp プログラミングコンテストとは、「与えられた問題をいかに素早く、正確に」解く…

AtCoder Problems in C++ #B - Base K

AtCoder Beginner Contestの過去問から、その提出コードの解答例です。 AtCoderとは、コンテストを通じて、プログラミングやアルゴリズムを学習するサービスです。 atcoder.jp プログラミングコンテストとは、「与えられた問題をいかに素早く、正確に」解く…

AtCoder Problems in C++ #A - Find Multiple

AtCoder Beginner Contestの過去問から、その提出コードの解答例です。 AtCoderとは、コンテストを通じて、プログラミングやアルゴリズムを学習するサービスです。 atcoder.jp プログラミングコンテストとは、「与えられた問題をいかに素早く、正確に」解く…

Aizu Online Judge in C++ #ITP2_10_A : Bit Operation I

Aizu Online Judge(AOJ)の過去問から、その提出コードの解答例です。・問題 "Bit Operation I" https://onlinejudge.u-aizu.ac.jp/problems/ITP2_10_A 10進数で与えられた非負の整数xを2進数に変換し、32桁のビット列bとして出力してください。さらに、bに…

Aizu Online Judge in C++ #ITP2_8_B : Map: Delete

Aizu Online Judge(AOJ)の過去問から、その提出コードの解答例です。・問題 "Map: Delete" https://onlinejudge.u-aizu.ac.jp/problems/ITP2_8_B キーが文字列、値が整数である辞書Mに対して、以下の操作を行ってください。ただし、辞書Mはキーの重複を許…

Aizu Online Judge in C++ #ITP2_8_A : Map: Search

Aizu Online Judge(AOJ)の過去問から、その提出コードの解答例です。・問題 "Map: Search" https://onlinejudge.u-aizu.ac.jp/problems/ITP2_8_A キーが文字列、値が整数である辞書Mに対して、以下の操作を行ってください。ただし、辞書Mはキーの重複を許…

Aizu Online Judge in C++ #ITP2_7_B : Set: Delete

Aizu Online Judge(AOJ)の過去問から、その提出コードの解答例です。・問題 "Set: Delete" https://onlinejudge.u-aizu.ac.jp/problems/ITP2_7_B 整数の集合Sに対して、以下の操作を行ってください。ただし、集合Sは要素の重複を許しません。 insert(x): S…

Aizu Online Judge in C++ #ITP2_7_A : Set: Search

Aizu Online Judge(AOJ)の過去問から、その提出コードの解答例です。・問題 "Set: Search" https://onlinejudge.u-aizu.ac.jp/problems/ITP2_7_A 整数の集合Sに対して、以下の操作を行ってください。ただし、集合Sは要素の重複を許しません。 insert(x): S…

Aizu Online Judge in C++ #ITP2_5_C : Permutation

Aizu Online Judge(AOJ)の過去問から、その提出コードの解答例です。・問題 "Permutation" https://onlinejudge.u-aizu.ac.jp/problems/ITP2_5_C 与えらえた数列 A={a0,a1,...,an−1}について、辞書式順で前の順列と次の順列を求めてください。僕が作成、提…

Aizu Online Judge in C++ #ITP2_5_D : Permutation Enumeration

Aizu Online Judge(AOJ)の過去問から、その提出コードの解答例です。・問題 "Permutation Enumeration" https://onlinejudge.u-aizu.ac.jp/problems/ITP2_5_D 与えらえた整数nに対して、{1,2,...,n}の全ての順列を辞書式順で順番に出力してください。僕が…

Aizu Online Judge in C++ #ITP2_5_B : Sorting Tuples

Aizu Online Judge(AOJ)の過去問から、その提出コードの解答例です。・問題 "Sorting Tuples" https://onlinejudge.u-aizu.ac.jp/problems/ITP2_5_B n個の品物が与えられます。各品物は{価値、重さ、型、日時、名前}の属性を持ち、これらはそれぞれ整数、…

最近遊んでみたゲームのこと

最近遊んでみたゲームの話です。 まずは、Crown Trickから。同期するターン制の戦闘とスキルアイテムを使ったインタラクティブな戦略が特徴のローグライクRPGです。>プレイヤーが動くと同時に動く迷宮で、エレメントをマスターしながら敵を倒し、地下世界の…

Aizu Online Judge in C++ #ITP2_3_D : Lexicographical Comparison

Aizu Online Judge(AOJ)の過去問から、その提出コードの解答例です。・問題 "Lexicographical Comparison" https://onlinejudge.u-aizu.ac.jp/problems/ITP2_3_D 2つの数列A={a0,a1,...,an−1}とB={b0,b1,...,bm−1}を辞書式順で比較してください。僕が作成…

Aizu Online Judge in C++ #ITP2_3_C : Count

Aizu Online Judge(AOJ)の過去問から、その提出コードの解答例です。・問題 "Count" https://onlinejudge.u-aizu.ac.jp/problems/ITP2_3_C 整数を保持する数列A={a0,a1,...,an−1}に対して、以下のクエリを処理してください。 count(b,e,k): ab,ab+1,...,ae…

Aizu Online Judge in C++ #ITP2_3_B : Min-Max Element

Aizu Online Judge(AOJ)の過去問から、その提出コードの解答例です。・問題 "Min-Max Element" https://onlinejudge.u-aizu.ac.jp/problems/ITP2_3_B 与えられた数列A={a0,a1,...,an−1}に対して、以下のクエリを処理してください。 min(b,e): 区間[b,e)の…

Aizu Online Judge in C++ #ITP2_4_D : Unique

Aizu Online Judge(AOJ)の過去問から、その提出コードの解答例です。・問題 "Unique" https://onlinejudge.u-aizu.ac.jp/problems/ITP2_4_D 要素が昇順にソートされた数列 A={a0,a1,...,an−1}の重複した要素を削除してください。僕が作成、提出したコード…

Aizu Online Judge in C++ #ITP2_4_C : Swap

Aizu Online Judge(AOJ)の過去問から、その提出コードの解答例です。・問題 "Swap" https://onlinejudge.u-aizu.ac.jp/problems/ITP2_4_C 与えられた数列 A={a0,a1,...,an−1}に対して、以下の操作を行い、要素の並びをスワップしてください。僕が作成、提…

Aizu Online Judge in C++ #ITP2_4_B : Rotate

Aizu Online Judge(AOJ)の過去問から、その提出コードの解答例です。・問題 "Rotate" https://onlinejudge.u-aizu.ac.jp/problems/ITP2_4_B 与えられた数列 A={a0,a1,...,an−1}に対して、以下の操作を行い、要素の並びを回転してください。僕が作成、提出…